近日,taptap点点官网taptap点点官方网站朱建国教授团队与西安电子科技大学、德国埃尔朗根—纽伦堡大学大学合作,针对近期在压电材料中发现的电致弯曲现象,通过理论推导与模拟提出了理解电致弯曲统一框架。相关成果以“Universal Theoretical Elucidation of Electrobending Deformation in Piezoelectrics”为题发表于物理领域国际顶尖刊物“Physical Review Letters,2025, 134(22), 226801”。taptap点点官方网站为该论文第一完成单位,taptap点点官网taptap点点官方网站朱建国教授、谭智副研究员、邢洁副研究员以及西安电子科技大学张辉老师为共同通讯作者,taptap点点官网taptap点点官方网站谭智副研究员为第一作者。
对于压电致动器而言,实现高电致应变是提升器件灵敏度与性能的关键目标。尽管已提出构建准同型相界、引入纳米尺度结构异质性等多种增强策略,传统钙钛矿铁电体的电致应变通常仍局限于 0.1%–0.4%。近年来,基于 Bi0.5Na0.5TiO3 和 BiFeO3-BaTiO3 体系的陶瓷通过外加电场诱导无序弛豫态向铁电态转变,实现了超过 0.4% 的应变。近期,在部分薄膜和压电陶瓷中观察到了高达 1%–26% 的异常电致应变,这些体系普遍含有人为引入的缺陷,且样品厚度通常较小(<0.3 mm)。如在厚度为 0.22 mm 的缺陷型 K0.49Na0.49NbO3 陶瓷中,可获得约 3.5% 的名义纵向应变。这种超高名义应变源于外加电场下氧空位定向迁移所诱导的弯曲变形。但电致弯曲的触发条件及名义应变对厚度的强烈依赖机制仍不明确。
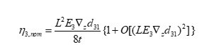
为此,朱建国教授团队通过理论推导与分子动力学模拟相结合,系统研究了电致弯曲形变的起源,证明压电体的弯曲可由厚度方向上 d31 的非零梯度所驱动,并建立了名义应变与样品尺寸、电场强度及 d31 梯度之间的定量关系:

舍去高阶小项,可以看出其名义应变直接与L2E3∇zd31/t成正比。
图1 电场导致压电陶瓷弯曲的示意图

分子动力学模拟表明,在标准KNbO3钙钛矿压电陶瓷中,0.69%浓度的氧空位通过抑制极化旋转可引起6.3 pC/N的d31变化,足以在薄样品中产生超高的名义应变。
通过分子动力学模拟揭示出氧空位可以降低晶体的剪切压电系数,从而导致陶瓷整体的d31出现非零梯度。通过在正交相KNbO3中进行不同梯度的氧空位的模拟,其压电系数如下所示,其与极化伸缩相关的d31、d32、d33均没有大幅度变化,但是其d24及d15出现明显下降,这与氧空位形成的缺陷偶极子抑制横向的极化波动有关。从而导致不同氧空位浓度的陶瓷d31,c出现显著不同。
表1 不同浓度氧空位下正交相KNbO3中得到的压电系数及对应的陶瓷压电系数。
此外,还系统分析了多种可能导致 d31 空间分布不均匀的因素,包括成分梯度及残余应力梯度等,表明电致弯曲并非特定材料或结构所独有,而可能是一种在压电体系中普遍存在的响应机制。这为通过缺陷与梯度工程调控压电响应、发展新型压电器件与结构设计提供了重要启示。
论文链接:https://journals.aps.org/prl/abstract/10.1103/f9y4-lh2m